HEALTHCARE COST & UTILIZATION PROJECT

User Support

Do Your own analysis
Explore Expert Research & Limited Datasets
STATISTICAL BRIEF #197


December 2015


Characteristics and Quality of Inpatient Stays at Hospitals Affiliated With Health Systems, 2009-2012


Brian Moore, Ph.D., Zeynal Karaca, Ph.D., Rachel Mosher Henke, Ph.D., and Herbert Wong, Ph.D.



Introduction

Today over half of community hospitals are part of multihospital health systems that are owned, leased, sponsored, or contract managed by a central organization. The rest remain as independent hospitals.1 Some multihospital health systems provide integrated care delivery through centralized management, whereas others are decentralized, with member hospitals associated primarily through unified ownership. The literature suggests that how a hospital is organized along these dimensions may affect the cost and quality of care, potentially through centralized services and increased communication between provider organizations. 2,3

In this Healthcare Cost and Utilization Project (HCUP) Statistical Brief, we compare hospitals in centrally organized multihospital systems (centralized system hospitals) with independent hospitals, two groups of hospitals that are distinctly different from each other:

  • Centralized system hospitals are health systems with centralized physician arrangements and insurance product development.
  • Independent hospitals are hospitals with no system affiliation
We excluded from the analysis hospitals that were part of noncentralized systems. Noncentralized system hospitals include those that have an affiliation with another hospital but do not share decision making or management structures. Excluding these hospitals made it easier to detect differences across the two hospital types—centralized system hospitals and independent hospitals—that have a clearer distinction in organizational structure characteristics. It also made interpretation of descriptive statistics more meaningful.

The purpose of this Statistical Brief is exploratory—to show the difference in hospital characteristics between centralized system hospitals and independent hospitals at the national level, and to present descriptive statistics from HCUP on a variety of metrics. Because hospitals in centralized systems are likely to differ from independent hospitals in many ways, no inference can be made from these statistics about the relationship between being in a system and these metrics.

We obtained data from the American Hospital Association (AHA) Annual Survey of Hospitals to categorize hospitals as centralized system hospitals or independent hospitals.4 Health systems are assigned to a category on the basis of how much they differentiate and centralize their hospital services, physician arrangements, and provider-based insurance products.

We used data from the HCUP State Inpatient Databases (SID) and the AHA to measure hospital and patient characteristics in 2012. We used HCUP SID data to measure changes in hospital quality from 2009 to 2012. The hospital quality of care metrics that we used included mortality rates among adults for selected conditions from the Agency for Healthcare Research and Quality (AHRQ) Inpatient Quality Indicators (IQIs). We compared risk-adjusted mortality rates for both types of hospitals between 2009 and 2012. All differences between estimates noted in the text are statistically significant at the 0.05 level or better.
Highlights
  • Compared with independent hospitals, a larger proportion of centralized system hospitals in 2012 were located in the South (37.0 vs. 29.3 percent) and a smaller proportion were located in the West (9.6 vs. 19.3 percent).


  • Compared with independent hospitals, a larger proportion of centralized system hospitals were large (46.3 vs. 21.8 percent), private not-for-profit (93.0 vs. 55.7 percent), and teaching hospitals (39.3 vs. 16.8 percent).


  • Only small differences in payer mix existed between centralized system and independent hospitals in 2012, although Medicaid was the expected source of payment for a smaller proportion of stays at centralized system hospitals than at independent hospitals (18.5 vs. 23.1 percent).


  • Average costs per hospital stay were similar at centralized system and independent hospitals ($11,000 vs. $10,700).


  • In 2012, risk-adjusted mortality was lower for centralized system hospitals than for independent hospitals for five of six conditions examined: acute myocardial infarction (AMI) (58.7 per 1,000 stays in centralized system hospitals vs. 67.9 per 1,000 stays in independent hospitals), heart failure (28.8 vs. 36.8), stroke (66.8 vs. 76.3), gastrointestinal hemorrhage (19.8 vs. 25.1), and pneumonia (30.1 vs. 36.2).


  • There was no evidence of a systematic relationship between centralized system membership and change in mortality rates from 2009 to 2012.


Findings

Distribution of hospitals by hospital type, 2012
Figures 1 and 2 present the percentage of independent hospitals, centralized system hospitals, and noncentralized system hospitals in 2012 by selected hospital characteristics.


Figure 1. Distribution of hospitals by hospital type for geographic characteristics, 2012

Figure 1 is a stacked bar chart illustrating the distribution of hospitals by hospital type for geographic region and location in 2012.

Source: Agency for Healthcare Research and Quality (AHRQ), Center for Delivery, Organization, and Markets, Healthcare Cost and Utilization Project (HCUP), State Inpatient Databases (SID), 2012



Figure 1 is a stacked bar chart that shows the distribution of hospitals by hospital type for geographic region and location in 2012. In the Northeast, 35% of hospitals were noncentralized system hospitals, 11% were centralized system hospitals, and 54% were independent hospitals. In the Midwest, 44% of hospitals were noncentralized system hospitals, 8% were centralized system hospitals, and 48% were independent hospitals. In the South, 57% of hospitals were noncentralized system hospitals, 8% were centralized system hospitals, and 35% were independent hospitals. In the West, 55% of hospitals were noncentralized system hospitals, 4% were centralized system hospitals, and 42% were independent hospitals. In urban locations, 56% of hospitals were noncentralized system hospitals, 10% were centralized system hospitals, and 34% were independent hospitals. In rural locations, 40% of hospitals were noncentralized system hospitals, 4% were centralized system hospitals, and 55% were independent hospitals.



  • Hospitals in the Northeast and in urban areas were more likely than hospitals in the West and in rural areas to be a part of centralized systems.

    In 2012, the proportions of centralized system, noncentralized system, and independent hospitals varied across regions. For example, only 4 percent of hospitals in the West were centralized system hospitals compared with 11 percent in the Northeast. Independent hospitals constituted the highest proportion of hospitals in the Northeast and Midwest, whereas noncentralized system hospitals were the most prevalent in the South and West. Very few centralized system hospitals were located in rural areas in 2012 relative to independent hospitals and noncentralized system hospitals.


Figure 2. Distribution of hospitals by hospital type for selected characteristics, 2012

Figure 2 is a stacked bar chart illustrating the distribution of hospitals by hospital type for teaching status, ownership, and bed size in 2012.

Source: Agency for Healthcare Research and Quality (AHRQ), Center for Delivery, Organization, and Markets, Healthcare Cost and Utilization Project (HCUP), State Inpatient Databases (SID), 2012



Figure 2 is a stacked bar chart that shows the distribution of hospitals by hospital type for teaching status, ownership, and bed size in 2012. Among teaching hospitals, 49% were noncentralized system hospitals, 15% were centralized system hospitals, and 36% were independent hospitals. Among nonteaching hospitals, 50% were noncentralized system hospitals, 6% were centralized system hospitals, and 44% were independent hospitals. Among public, non-Federal hospitals, 21% were noncentralized system hospitals, 2% were centralized system hospitals, and 77% were independent hospitals. Among private, not-for-profit hospitals, 48% were noncentralized system hospitals, 12% were centralized system hospitals, and 40% were independent hospitals. Among private, for-profit hospitals, 84% were noncentralized system hospitals, 0% were centralized system hospitals, and 16% were independent hospitals. Among small hospitals with fewer than 50 beds, 40% were noncentralized system hospitals, 5% were centralized system hospitals, and 55% were independent hospitals. Among medium hospitals with between 50 and 199 beds, 57% were noncentralized system hospitals, 7% were centralized system hospitals, and 37% were independent hospitals. Among large hospitals with 200 beds or more, 54% were noncentralized system hospitals, 13% were centralized system hospitals, and 33% were independent hospitals.



  • Teaching hospitals were more likely than nonteaching hospitals to be a part of centralized systems.

    In 2012, 15 percent of teaching hospitals were centralized system hospitals, and 6 percent of nonteaching hospitals were centralized system hospitals. The proportion of teaching and nonteaching hospitals that were noncentralized system (49 percent and 50 percent, respectively) and independent (36 percent and 44 percent respectively) was more evenly distributed.


  • In 2012, private not-for-profit hospitals were more likely than public or for-profit hospitals to be a part of centralized systems.

    In 2012, independent hospitals constituted the largest proportion of public, non-Federal hospitals (77 percent). Noncentralized system hospitals constituted the largest proportion of private, for-profit hospitals (84 percent). For private, not-for-profit hospitals, the proportion of hospital types was more evenly distributed (40 percent independent hospitals, 12 percent centralized system hospitals, and 48 percent noncentralized system hospitals).


  • Hospitals with 200 or more beds were more likely than hospitals with fewer beds to be a part of centralized systems.

    In 2012, the proportion of centralized system hospitals increased with bed size (small: 5 percent; medium: 7 percent; and large: 13 percent). The proportion of independent hospitals decreased with bed size (small: 55 percent; medium: 37 percent; and large: 33 percent). The proportion of noncentralized system hospitals was highest for medium bed size (small: 40 percent; medium: 57 percent; and large: 54 percent).

We excluded hospitals that were part of noncentralized systems from the remaining analyses to focus on the other two hospital types—centralized system hospitals and independent hospitals—which were distinctly different from each other.

Characteristics of centralized system hospitals versus independent hospitals, 2012
Table 1 presents hospital characteristics of centralized system hospitals and independent hospitals in 2012.


Table 1. Hospital characteristics by hospital type, 2012
Characteristic Type of hospital
Centralized system Independent
Number of hospitals 270 1,505
Region, % of hospitals Northeast 18.9 15.9
Midwest 34.4 35.5
South 37.0 29.3
West 9.6 19.3
Bed size, % of hospitals Small (<50 beds) 22.2 48.3
Medium (50-199 beds) 31.5 29.9
Large (200+ beds) 46.3 21.8
Ownership, % of hospitals Public, nonfederal 6.3 36.7
Private, not-for-profit 93.0 55.7
Private, for-profit 0.7 7.6
Teaching status, % of hospitals Teaching 39.3 16.8
Nonteaching 60.7 83.2
Location, % of hospitals Urban 77.8 48.4
Rural 22.2 51.6
Source: Agency for Healthcare Research and Quality (AHRQ), Center for Delivery, Organization, and Markets, Healthcare Cost and Utilization Project (HCUP), State Inpatient Databases (SID), 2012


  • A larger proportion of centralized system hospitals were located in the South, and a smaller proportion were located in the West compared with independent hospitals.

    In 2012, 37.0 percent of centralized system hospitals were located in the South compared with 29.3 percent of independent hospitals. Almost 10 percent of centralized system hospitals were located in the West in 2012 compared with 19.3 percent of independent hospitals. The relative proportion of centralized system hospitals and independent hospitals in the Northeast and Midwest were similar.


  • Compared with independent hospitals, a larger proportion of centralized system hospitals were large, private not-for-profit, and teaching hospitals.

    In 2012, 46.3 percent of centralized system hospitals were large compared with 21.8 percent of independent hospitals. A larger proportion of centralized system hospitals had private, not-for-profit ownership compared with independent hospitals (93.0 vs. 55.7 percent). A smaller proportion of centralized system hospitals had public, nonfederal ownership compared with independent hospitals (6.3 vs. 36.7 percent). Compared with independent hospitals, a larger proportion of centralized system hospitals were teaching hospitals (39.3 vs. 16.8 percent).


  • A larger proportion of centralized system hospitals were located in urban areas compared with independent hospitals.

    Compared with independent hospitals, a larger proportion of centralized system hospitals were located in urban areas in 2012 (77.8 vs. 48.4 percent).

Table 2 presents the patient characteristics for stays at centralized system hospitals versus independent hospitals in 2012. There were no significant differences by patient age or sex.


Table 2. Patient characteristics by hospital type, 2012
Characteristic Type of hospital
Centralized system Independent
Number of stays 3,871,000 8,939,600
Age group, years, % of stays < 1 11.4 12.2
1-17 3.8 5.8
18-44 24.8 24.4
45-64 25.6 23.8
65+ 34.5 33.8
Sex, % of stays Male 42.3 42.8
Female 57.7 57.2
Expected primary payer, % of stays Medicare 40.0 37.6
Medicaid 18.5 23.1
Private insurance 33.8 30.0
Uninsured 4.8 5.9
APR-DRG severity measures, % of stays Severity of illness >3 29.2 25.6
Risk of mortality >3 13.0 11.5
Resource use per stay Average cost per stay, $ 11,000 10,700
Average length of stay, days 4.7 4.6
Abbreviation: APR-DRG, All Patient Refined Diagnosis Related Groups
Source: Agency for Healthcare Research and Quality (AHRQ), Center for Delivery, Organization, and Markets, Healthcare Cost and Utilization Project (HCUP), State Inpatient Databases (SID), 2012


  • There were only small differences in expected primary payer at centralized system hospitals compared with independent hospitals.

    In 2012, compared with stays at independent hospitals, stays at centralized system hospitals were less frequently billed to Medicaid (18.5 vs. 23.1 percent) or uninsured (4.8 vs. 5.9 percent). Stays at centralized system hospitals were more frequently billed to Medicare (40.0 vs. 37.6 percent) or private insurance (33.8 vs. 30.0 percent).


  • Patient severity of illness and risk of mortality were greater among stays at centralized system hospitals than among stays at independent hospitals.

    At centralized system hospitals, 29.2 percent of stays involved high patient severity of illness (All Patient Refined Diagnosis Related Groups [APR-DRGs] severity of illness score of 3 or 4) compared with 25.6 percent of stays at independent hospitals. Thirteen percent of stays at centralized system hospitals involved high patient risk of mortality (APR-DRG risk of mortality score of 3 or 4) compared with 11.5 percent of stays at independent hospitals.


  • Mean costs per hospital stay at centralized system hospitals were comparable to costs at independent hospitals.

    In 2012, the mean hospital cost per stay at centralized system hospitals was $11,000 compared with $10,700 at independent hospitals. This represents a difference of less than 3 percent.

Inpatient mortality for centralized system hospitals versus independent hospitals, 2009-2012
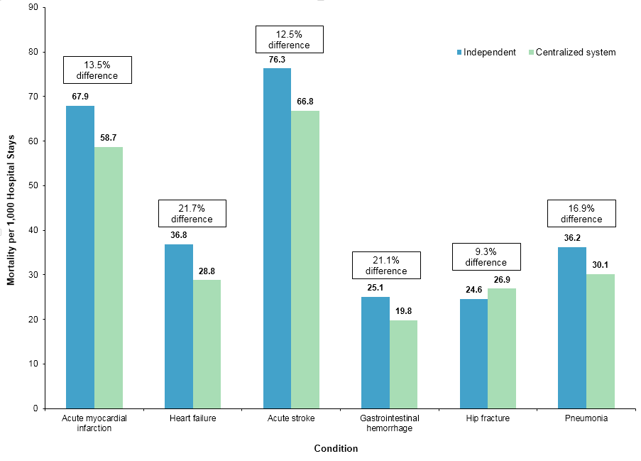
Figure 3 shows the mortality rate for six selected conditions in 2012.


Figure 3. Risk-adjusted mortality ratea per 1,000 hospital stays for selected conditions at centralized system hospitals and independent hospitals, 2012

Figure 3 is a bar chart illustrating risk-adjusted mortality per 1,000 hospital stays at independent hospitals and centralized system hospitals for six conditions.

a The variables used for risk adjustment vary for each individual inpatient quality indicator. Risk-adjustment variables included patient sex and age, Major Diagnostic Categories (MDC), All Payer Refined Diagnosis Related Group (APR-DRG), patient point-of-origin, and whether the patient was transferred from another facility. Additional information on the risk-adjustment process may be found in the Quality Indicator Empirical Methods document, available on the AHRQ Quality Indicators website at http://www.qualityindicators.ahrq.gov/modules/Default.aspx.
Source: Agency for Healthcare Research and Quality (AHRQ), Center for Delivery, Organization, and Markets, Healthcare Cost and Utilization Project (HCUP), State Inpatient Databases (SID), 2012



Figure 3 is a bar chart that shows risk-adjusted mortality per 1,000 hospital stays at independent hospitals and centralized system hospitals for six conditions. The risk-adjusted mortality rate per 1,000 hospital stays for acute myocardial infarction was 67.9 for independent hospitals and 58.7 for centralized system hospitals, for a difference of 13.5%. The risk-adjusted mortality rate per 1,000 hospital stays for heart failure was 36.8 for independent hospitals and 28.8 for centralized system hospitals, for a difference of 21.7%. The risk-adjusted mortality rate per 1,000 hospital stays for acute stroke was 76.3 for independent hospitals and 66.8 for centralized system hospitals, for a difference of 12.5%. The risk-adjusted mortality rate per 1,000 hospital stays for gastrointestinal hemorrhage was 25.1 for independent hospitals and 19.8 for centralized system hospitals, for a difference of 21.1%. The risk-adjusted mortality rate per 1,000 hospital stays for hip fracture was 24.6 for independent hospitals and 26.9 for centralized system hospitals, for a difference of 9.3%. The risk-adjusted mortality rate per 1,000 hospital stays for pneumonia was 36.2 for independent hospitals and 30.1 for centralized system hospitals, for a difference of 16.9%.



  • In 2012, risk-adjusted mortality rates were lower for centralized system hospitals than for independent hospitals for five of the six conditions examined.

    • Acute myocardial infarction (58.7 per 1,000 stays in centralized system hospitals vs. 67.9 per 1,000 stays in independent hospitals)
    • Heart failure (28.8 vs. 36.8)
    • Acute stroke (66.8 vs. 76.3)
    • Gastrointestinal hemorrhage (19.8 vs. 25.1)
    • Pneumonia (30.1 vs. 36.2)

Figure 4 shows the percentage change in mortality rate for the six conditions between 2009 and 2012.


Figure 4. Percentage change in risk-adjusted mortality ratea per 1,000 hospital stays for selected conditions by hospital type, 2009-2012

Figure 4 is a bar chart illustrating the percentage change in risk-adjusted mortality rate per 1,000 hospital stays at independent and centralized system hospitals for 6 conditions between 2009 and 2012.

a The variables used for risk adjustment vary for each individual inpatient quality indicator. Risk-adjustment variables included patient sex and age, Major Diagnostic Categories (MDC), All Payer Refined Diagnosis Related Group (APR-DRG), patient point-of-origin, and whether the patient was transferred from another facility. Additional information on the risk-adjustment process may be found in the Quality Indicator Empirical Methods document, available on the AHRQ Quality Indicators website at http://www.qualityindicators.ahrq.gov/modules/Default.aspx.
Source: Agency for Healthcare Research and Quality (AHRQ), Center for Delivery, Organization, and Markets, Healthcare Cost and Utilization Project (HCUP), State Inpatient Databases (SID), 2009 and 2012



Figure 4 is a bar chart that shows the percentage change in risk-adjusted mortality rate per 1,000 hospital stays at independent and centralized system hospitals for six conditions between 2009 and 2012. The change in risk-adjusted mortality per 1,000 hospital stays for acute myocardial infarction was -19.0% for independent hospitals and -11.3% for centralized system hospitals. The change in risk-adjusted mortality per 1,000 hospital stays for heart failure was -4.4% for independent hospitals and -11.7% for centralized system hospitals. The change in risk-adjusted mortality per 1,000 hospital stays for acute stroke was -13.3% for independent hospitals and -13.7% for centralized system hospitals. The change in risk-adjusted mortality per 1,000 hospital stays for gastrointestinal hemorrhage was -0.4% for independent hospitals and -9.2% for centralized system hospitals. The change in risk-adjusted mortality per 1,000 hospital stays for hip fracture was -16.3% for independent hospitals and 5.5% for centralized system hospitals. The change in risk-adjusted mortality per 1,000 hospital stays for pneumonia was -14.2% for independent hospitals and -13.8% for centralized system hospitals.



  • Between 2009 and 2012, mortality rates decreased more for some types of hospitals than for others, depending on the conditions examined.

    Between 2009 and 2012, the mortality rate for acute myocardial infarction decreased more for independent hospitals (19.0 percent decrease) than for centralized system hospitals (11.3 percent decline).

    For hip fracture, the mortality rate went down 16.3 percent for independent hospitals and increased 5.5 percent for centralized system hospitals.

    The heart failure mortality rate decreased more for centralized system hospitals (11.7 percent decrease) than for independent hospitals (4.4 percent decrease). Similarly, the gastrointestinal hemorrhage mortality rate decreased 9.2 percent for centralized system hospitals while remaining essentially unchanged for independent hospitals (0.4 percent decrease).

    Decreases in mortality rates were about the same for acute stroke (13.3-13.7 percent decrease) and pneumonia (13.8-14.2 percent decrease) for both hospital types.


Data Source

The estimates in this Statistical Brief are based upon data from the Healthcare Cost and Utilization Project (HCUP) 2012 State Inpatient Databases (SID). Historical data were drawn from the 2009-2011 SID.

Definitions

Types of hospitals included in HCUP State Inpatient Databases
This analysis used State Inpatient Databases (SID) limited to data from community hospitals, which are defined as short-term, non-Federal, general, and other hospitals, excluding hospital units of other institutions (e.g., prisons). Community hospitals include obstetrics and gynecology, otolaryngology, orthopedic, cancer, pediatric, public, and academic medical hospitals. Excluded for this analysis are long-term care facilities such as rehabilitation, psychiatric, and alcoholism and chemical dependency hospitals. However, if a patient received long-term care, rehabilitation, or treatment for psychiatric or chemical dependency conditions in a community hospital, the discharge record for that stay was included in the analysis.

Case definition
The specification of hospitals as either an independent hospital or as belonging to a centralized system was based on responses to American Hospital Association (AHA) Annual Survey of Hospitals questions related to health system membership and degree of centralization in hospital services, physician arrangements, and insurance product development. Our definition of health systems is derived from a binary variable for system membership and the AHA system cluster variable, which uses multiple AHA survey responses and factor analysis to classify hospitals into an organized grouping of systems on the basis of differentiation, centralization, and integration. System is defined by AHA as either a multihospital or diversified single hospital system. A multihospital system is two or more hospitals owned, leased, sponsored, or contract managed by a central organization. Single, freestanding hospitals may be categorized as a system by bringing into membership three or more, and at least 25 percent, of their owned or leased nonhospital preacute or postacute organizations. Health systems are assigned to one of six categories on the basis of how much they differentiate and centralize their hospital services, physician arrangements, and provider-based insurance products. Table 3 describes each of the possible values of the AHA system cluster variable.


Table 3. Total number of hospitals by AHA health system cluster

American Hospital Association health system cluster descriptionsa Total number of hospitals in HCUP SIDb Analytic sample sizec
Cluster code Label Description 2009 2012 2009 2012
Hospitals with any system affiliation
1 Centralized health system A delivery system in which the system centrally organizes individual hospital service delivery, physician arrangements, and insurance product development. The number of different products and services that are offered across the system is moderate. 291 326 182 185
2 Centralized physician/insurance health system A delivery system with highly centralized physician arrangements and insurance product development. Within this group, hospital services are relatively decentralized, with individual hospitals having discretion over the array of services they offer. The number of different products and services that are offered across the system is moderate. 146 156 88 85
3 Moderately centralized health system A delivery system that is distinguished by the presence of both centralized and decentralized activity for hospital services, physician arrangements, and insurance product development. For example, a system within this group may have centralized care of expensive, high-technology services, such as open heart surgery but allow individual hospitals to provide an array of other health services on the basis of local needs. The number of different products and services that are offered across the system is moderate. 689 689 0 0
4 Decentralized health system A delivery system with a high degree of decentralization of hospital services, physician arrangements, and insurance product development. Within this group, systems may lack an overarching structure for coordination. Service and product differentiation is high, which may explain why centralization is hard to achieve. In this group, the system may simply serve a role in sharing information and providing administrative support to highly developed local delivery systems centered around hospitals. 949 1,098 0 0
5 Independent hospital system A delivery system with limited differentiation of hospital services, physician arrangements, and insurance product development. These systems are largely horizontal affiliations of autonomous hospitals. 456 533 0 0
6 or blank Blank Sufficient data from the FY 2012 Annual Survey were not available to determine a cluster assignment. 36 40 0 0
Hospitals with no system affiliation
Independent hospitals 1,888 1,740 1,505 1,505
Abbreviations: AHA, American Hospital Association; HCUP, Healthcare Cost and Utilization Project; SID, State Inpatient Databases
a Bazzoli GJ, Shortell SM, Dubbs N, et al. A taxonomy of health networks and systems: bringing order out of chaos. Health Serv Res. 1999;33(6):1683-717.
b These columns include all hospitals in the HCUP SID that can be merged with AHA files.
c We excluded from the analysis hospitals with fewer than 30 discharges per year, with fewer than 4 years of data available between 2009 and 2012, or that changed health system affiliation or type of health system between 2009 and 2012.


We reclassified the six clusters above into three groups: (1) AHA cluster values 1-2 for health systems with centralized physician arrangements and insurance product development, (2) AHA cluster values 3-6 for noncentralized health systems, and (3) independent hospitals, which do not indicate any system affiliation. Results for hospitals in group (2) above are not included in this Statistical Brief. This analysis focuses on two subgroups of hospitals in the United States:

  • Centralized system hospitals: Health systems with centralized physician arrangements and insurance product development (clusters 1 and 2 only)
  • Independent hospitals: Hospitals with no system affiliation
Measurement of risk-adjusted mortality
Selected conditions are those included in composite Inpatient Quality Indicator (IQI) #91 from the AHRQ Quality Indicators (QIs) (http://www.qualityindicators.ahrq.gov/) - Mortality for Selected Conditions: acute myocardial infarction, heart failure, acute stroke, gastrointestinal hemorrhage, hip fracture, and pneumonia.

Inpatient Quality Indicators and risk adjustment
The AHRQ IQIs (version 4.4) were used for this analysis to identify the admissions of interest and for risk adjustment. The IQIs, a component of the AHRQ QIs, are a set of measures that can be used with hospital inpatient discharge and administrative data to provide a perspective on quality. Mortality indicators for inpatient care include conditions and procedures for which mortality has been shown to vary across institutions and for which there is evidence that high mortality may be associated with poor quality of care.

The IQI approach identified the admissions for the six diagnoses (on the basis of International Classification of Diseases, Ninth Revision, Clinical Modification [ICD-9-CM] principal diagnosis codes). The approach included admissions of patients aged 18 years or older (65 years or older for hip fracture). The approach excluded admissions of patients who were transferred to another hospital and, with the exception of acute myocardial infarction, those that were obstetric.

As part of the IQI risk-adjustment approach, APR-DRG software was applied to the data. The APR-DRG classification expands the DRG classification (used for Medicare reimbursement) to be applicable to non-Medicare populations and for uses beyond those related to resource consumption (i.e., for risk of mortality and severity of illness). Each admission is assigned an APR-DRG and a Risk of Mortality subclass (minor, moderate, major, or extreme) within the APR-DRG. The IQI risk-adjustment variables were age, sex, age-sex interaction, and APR-DRG Risk of Mortality subclass. Regression-based standardization (designed by the developers of the IQI software) was used for risk adjustment.

Additional detail on the risk-adjustment methodology and statistical approach is available in Coffey et al. 2015.5 Further information on the AHRQ QIs, including documentation and free software downloads, is available at http://www.qualityindicators.ahrq.gov/.

Unit of analysis
The unit of analysis is the hospital discharge (i.e., the hospital stay), not a person or patient. This means that a person who is admitted to the hospital multiple times in 1 year will be counted each time as a separate discharge from the hospital.

Costs and charges
Total hospital charges were converted to costs using HCUP Cost-to-Charge Ratios based on hospital accounting reports from the Centers for Medicare & Medicaid Services (CMS).6 Costs reflect the actual expenses incurred in the production of hospital services, such as wages, supplies, and utility costs; charges represent the amount a hospital billed for the case. For each hospital, a hospital-wide cost-to-charge ratio is used. Hospital charges reflect the amount the hospital billed for the entire hospital stay and do not include professional (physician) fees. For the purposes of this Statistical Brief, costs are reported to the nearest hundred.

Hospital location
The classification of whether a hospital is in a metropolitan area (urban) or nonmetropolitan area (rural) is defined from the American Hospital Association (AHA) Annual Survey of Hospitals, using the 1993 U.S. Office of Management and Budget definition.

Payer
Payer is the expected payer for the hospital stay. To make coding uniform across all HCUP data sources, payer combines detailed categories into general groups:

  • Medicare: includes patients covered by fee-for-service and managed care Medicare
  • Medicaid: includes patients covered by fee-for-service and managed care Medicaid
  • Private Insurance: includes Blue Cross, commercial carriers, and private health maintenance organizations (HMOs) and preferred provider organizations (PPOs)
  • Uninsured: includes an insurance status of self-pay and no charge
  • Other: includes Worker's Compensation, TRICARE/CHAMPUS, CHAMPVA, Title V, and other government programs.

Hospital stays billed to the State Children's Health Insurance Program (SCHIP) may be classified as Medicaid, Private Insurance, or Other, depending on the structure of the State program. Because most State data do not identify patients in SCHIP specifically, it is not possible to present this information separately.

When more than one payer is listed for a hospital discharge, the first-listed payer is used.

Region
Region is one of the four regions defined by the U.S. Census Bureau:

  • Northeast: Maine, New Hampshire, Vermont, Massachusetts, Rhode Island, Connecticut, New York, New Jersey, and Pennsylvania
  • Midwest: Ohio, Indiana, Illinois, Michigan, Wisconsin, Minnesota, Iowa, Missouri, North Dakota, South Dakota, Nebraska, and Kansas
  • South: Delaware, Maryland, District of Columbia, Virginia, West Virginia, North Carolina, South Carolina, Georgia, Florida, Kentucky, Tennessee, Alabama, Mississippi, Arkansas, Louisiana, Oklahoma, and Texas
  • West: Montana, Idaho, Wyoming, Colorado, New Mexico, Arizona, Utah, Nevada, Washington, Oregon, California, Alaska, and Hawaii

About HCUP

The Healthcare Cost and Utilization Project (HCUP, pronounced "H-Cup") is a family of databases and related software tools and products developed through a Federal-State-Industry partnership and sponsored by the Agency for Healthcare Research and Quality (AHRQ). HCUP databases bring together the data collection efforts of State data organizations, hospital associations, and private data organizations (HCUP Partners) and the Federal government to create a national information resource of encounter-level data. HCUP includes the largest collection of longitudinal hospital care data in the United States, with all-payer, encounter-level information beginning in 1988. These databases enable research on a broad range of health policy issues, including cost and quality of health services, medical practice patterns, access to programs, and outcomes of treatments at the national, State, and local market levels.

HCUP would not be possible without the contributions of the following data collection Partners from across the United States:

Alaska State Hospital and Nursing Home Association
Arizona Department of Health Services
Arkansas Department of Health
California Office of Statewide Health Planning and Development
Colorado Hospital Association
Connecticut Hospital Association
District of Columbia Hospital Association
Florida Agency for Health Care Administration
Georgia Hospital Association
Hawaii Health Information Corporation
Illinois Department of Public Health
Indiana Hospital Association
Iowa Hospital Association
Kansas Hospital Association
Kentucky Cabinet for Health and Family Services
Louisiana Department of Health and Hospitals
Maine Health Data Organization
Maryland Health Services Cost Review Commission
Massachusetts Center for Health Information and Analysis
Michigan Health & Hospital Association
Minnesota Hospital Association
Mississippi Department of Health
Missouri Hospital Industry Data Institute
Montana MHA - An Association of Montana Health Care Providers
Nebraska Hospital Association
Nevada Department of Health and Human Services
New Hampshire Department of Health & Human Services
New Jersey Department of Health
New Mexico Department of Health
New York State Department of Health
North Carolina Department of Health and Human Services
North Dakota (data provided by the Minnesota Hospital Association)
Ohio Hospital Association
Oklahoma State Department of Health
Oregon Association of Hospitals and Health Systems
Oregon Office of Health Analytics
Pennsylvania Health Care Cost Containment Council
Rhode Island Department of Health
South Carolina Revnue and Fiscal Affairs Office
South Dakota Association of Healthcare Organizations
Tennessee Hospital Association
Texas Department of State Health Services
Utah Department of Health
Vermont Association of Hospitals and Health Systems
Virginia Health Information
Washington State Department of Health
West Virginia Health Care Authority
Wisconsin Department of Health Services
Wyoming Hospital Association

About Statistical Briefs

HCUP Statistical Briefs are descriptive summary reports presenting statistics on hospital inpatient and emergency department use and costs, quality of care, access to care, medical conditions, procedures, patient populations, and other topics. The reports use HCUP administrative data.

About the SID

The HCUP State Inpatient Databases (SID) are hospital inpatient databases from data organizations participating in HCUP. The SID contain the universe of the inpatient discharge abstracts in the participating HCUP States, translated into a uniform format to facilitate multistate comparisons and analyses. Together, the SID encompass more than 95 percent of all U.S. community hospital discharges. The SID can be used to investigate questions unique to one State, to compare data from two or more States, to conduct market-area variation analyses, and to identify State-specific trends in inpatient care utilization, access, charges, and outcomes.

For More Information

For more information about HCUP, visit http://www.hcup-us.ahrq.gov/.

For additional HCUP statistics, visit HCUPnet, our interactive query system, at https://datatools.ahrq.gov/hcupnet.

For information on other hospitalizations in the United States, refer to the following HCUP Statistical Briefs located at http://www.hcup-us.ahrq.gov/reports/statbriefs/statbriefs.jsp:

  • Statistical Brief #180, Overview of Hospital Stays in the United States, 2012
  • Statistical Brief #181, Costs for Hospital Stays in the United States, 2012
  • Statistical Brief #186, Most Frequent Operating Room Procedures Performed in U.S. Hospitals, 2003-2012
  • Statistical Brief #162, Most Frequent Conditions in U.S. Hospitals, 2011
For a detailed description of HCUP and more information on the design of the State Inpatient Databases (SID), please refer to the following database documentation:

Agency for Healthcare Research and Quality. Overview of the State Inpatient Databases (SID). Healthcare Cost and Utilization Project (HCUP). Rockville, MD: Agency for Healthcare Research and Quality. Updated November 2014. http://www.hcup-us.ahrq.gov/sidoverview.jsp. Accessed January 7, 2015.

Suggested Citation

Moore B (Truven Health Analytics), Karaca Z (AHRQ), Henke RM (Truven Health Analytics), Wong H (AHRQ). Characteristics and Quality of Inpatient Stays at Hospitals Affiliated With Health Systems, 2009-2012. HCUP Statistical Brief #197. December 2015. Agency for Healthcare Research and Quality, Rockville, MD. http://www.hcup-us.ahrq.gov/reports/statbriefs/sb197-Characteristics-Quality-Hospitals-Health-Systems.pdf.

***

AHRQ welcomes questions and comments from readers of this publication who are interested in obtaining more information about access, cost, use, financing, and quality of in the United States. We also invite you to tell us how you are using this Statistical Brief and other HCUP data and tools, and to share suggestions on how HCUP products might be enhanced to further meet your needs. Please e-mail us at hcup@ahrq.gov or send a letter to the address below:

Virginia Mackay-Smith, Acting Director
Center for Delivery, Organization, and Markets
Agency for Healthcare Research and Quality
5600 Fishers Lane
Rockville, MD 20857



1 American Hospital Association. AHA Annual Survey Database™ Fiscal Year 2013. American Hospital Association Data Viewer website. http://www.ahadataviewer.com/book-cd-products/AHA-Survey. Exit Disclaimer Accessed November 12, 2015.
2 Bazzoli GJ, Chan B, Shortell SM, D'Aunno T. The financial performance of hospitals belonging to health networks and systems. Inquiry: J Med Care Organ, Provision Financing. 2000;37(3):234-52.
3 Chukmaitov AS, Harless DW, Bazzoli GJ, Carretta HJ, Siangphoe. Delivery system characteristics and their association with quality and costs of care: implications for accountable care organizations. Health Care Manage Rev. 2014;40(2):92-103.
4 Bazzoli GJ, Shortell SM, Dubbs N, Chan C, Kralovec P. A taxonomy of health networks and systems: bringing order out of chaos. Health Serv Res. 1999;33(6):1683-717.
5 Coffey R, Barrett M, Houchens R, Moy E, Andrews R, Moles E, Coenen N. Methods Applying AHRQ Quality Indicators to Healthcare Cost and Utilization Project (HCUP) Data for the 2014 National Healthcare Quality Report (NHQR) and National Healthcare Disparities Report (NHDR). 2015. HCUP Methods Series Report #2015-02. February 3, 2015. U.S. Agency for Healthcare Research and Quality. http://www.hcup-us.ahrq.gov/reports/methods/2015_02.pdf. Accessed July 13, 2015.
6 Agency for Healthcare Research and Quality. HCUP Cost-to-Charge Ratio (CCR) Files. Healthcare Cost and Utilization Project (HCUP). 2001-2012. Rockville, MD: Agency for Healthcare Research and Quality. Updated December 2014. http://www.hcup-us.ahrq.gov/db/state/costtocharge.jsp. Accessed January 7, 2015.

Internet Citation: Statistical Brief #197. Healthcare Cost and Utilization Project (HCUP). November 2015. Agency for Healthcare Research and Quality, Rockville, MD. hcup-us.ahrq.gov/reports/statbriefs/sb197-Characteristics-Quality-Hospitals-Health-Systems.jsp.
Are you having problems viewing or printing pages on this website?
If you have comments, suggestions, and/or questions, please contact hcup@ahrq.gov.
If you are experiencing issues related to Section 508 accessibility of information on this website, please contact hcup@ahrq.gov.
Privacy Notice, Viewers & Players
Last modified 11/23/15