HEALTHCARE COST AND UTLIZATION PROJECT HCUP
A FEDERAL-STATE-INDUSTRY PARTNERSHIP IN HEALTH DATA
Sponsored by the Agency for Healthcare Research and Quality
|
Please read all documentation carefully. THE 2016 KID CONTAINS ICD-10-CM/PCS CODES The 2016 KID includes a full calendar year of ICD-10-CM/PCS data. Data elements derived from AHRQ software tools are not included because the ICD-10-CM/PCS versions are still under development. THE KID ENHANCED CONFIDENTIALITY BEGINNING WITH 2012. Starting in data year 2012, the KID eliminated State identifiers, unencrypted hospital identifiers, and other data elements that are not uniformly available across States. |
| These pages provide only an introduction to the KID 2016 package. For full documentation and notification of changes, visit the HCUP User Support (HCUP-US) website at www.hcup-us.ahrq.gov. |
|---|
Issued September 2018
Agency for Healthcare Research and Quality
Healthcare Cost and Utilization Project (HCUP)
Phone: (866) 290-HCUP (4287)
Email: hcup@ahrq.gov
website: http://www.hcup-us.ahrq.gov
KID Data and Documentation Distributed by:
HCUP Central Distributor
Phone: (866) 556-4287 (toll-free)
Fax: (866) 792-5313
Email: HCUPDistributor@ahrq.gov
HCUP KIDS' INPATIENT DATABASE (KID) SUMMARY OF DATA USE RESTRICTIONS |
|---|
***** REMINDER ***** |
All users of the KID must take the online HCUP Data Use Agreement (DUA) training course, and read and sign a Data Use Agreement.† Authorized users of HCUP data agree to the following restrictions: ‡
Any violation of the limitations in the Data Use Agreement is punishable under Federal law by a fine of up to $10,000 and up to 5 years in prison. Violations may also be subject to penalties under State statutes. |
† The online Data Use Agreement training session and the Data Use Agreement are available on the HCUP User Support (HCUP-US) website at www.hcup-us.ahrq.gov. |
All HCUP data users, including data purchasers and collaborators, must complete the online HCUP Data Use Agreement (DUA) Training Tool, and read and sign the HCUP Data Use Agreement. Proof of training completion and signed Data Use Agreements must be submitted to the HCUP Central Distributor as described below.
The online DUA training course is available at: www.hcup-us.ahrq.gov/tech_assist/dua.jsp.
The HCUP Nationwide Data Use Agreement is available on the AHRQ-sponsored HCUP User Support (HCUP-US) website at. www.hcup-us.ahrq.gov
HCUP Central Distributor
Data purchasers will be required to provide their DUA training completion code and will execute their DUAs electronically as a part of the online ordering process. The DUAs and training certificates for collaborators and others with access to HCUP data should be submitted directly to the HCUP Central Distributor using the contact information below.
The HCUP Central Distributor can also help with questions concerning HCUP database purchases, your current order, training certificate codes, or invoices, if your questions are not covered in the Purchasing FAQs on the HCUP Central Distributor website.
Purchasing FAQs:
www.distributor.hcup-us.ahrq.gov/Purchasing-Frequently-Asked-Questions.aspx
Phone: 866-556-HCUP (4287) (toll free)
Email: HCUPDistributor@AHRQ.gov
Fax: 866-792-5313 (toll free in the United States)
Mailing address:
HCUP Central Distributor
Social & Scientific Systems, Inc.
8757 Georgia Ave, 12th Floor
Silver Spring, MD 20910
HCUP User Support:
Information about the content of the HCUP databases is available on the HCUP User Support (HCUP-US) website (www.hcup-us.ahrq.gov). If you have questions about using the HCUP databases, software tools, supplemental files, and other HCUP products, please review the HCUP Frequently Asked Questions or contact HCUP User Support:
HCUP FAQs: www.hcup-us.ahrq.gov/tech_assist/faq.jsp
Phone: 866-290-HCUP (4287) (toll free)
Email: hcup@ahrq.gov
WHAT'S NEW IN THE 2016 KIDS' INPATIENT DATABASE (KID)? |
|---|
|
UNDERSTANDING THE KID |
|---|
|
HEALTHCARE COST AND UTILIZATION PROJECT — HCUP
A FEDERAL-STATE-INDUSTRY PARTNERSHIP IN HEALTH DATA
Sponsored by the Agency for Healthcare Research and Quality
The Kids’ Inpatient Database (KID) is part of the Healthcare Cost and Utilization Project (HCUP), sponsored by the Agency for Healthcare Research and Quality (AHRQ).
The KID is the largest publicly-available all-payer pediatric inpatient care database in the United States, yielding national estimates of hospital inpatient stays by children. The KID is a sample of pediatric discharges from all community, non-rehabilitation hospitals in States participating in HCUP. The target universe includes pediatric discharges from community, non-rehabilitation hospitals in the United States. Pediatric discharges are defined as all discharges where the patient was age 20 or less at admission. See Table 1 in Appendix I for a list of the statewide data organizations participating in the KID. The number of sample hospitals and discharges by State and year are available in Table 2 in Appendix I.
Inpatient stay records in the KID include clinical and resource use information typically available from discharge abstracts created by hospitals for billing. The KID contains charge information on all patients, regardless of payer, including persons covered by private insurance, Medicaid, Medicare, and the uninsured. The KID's large sample size enables analyses of rare conditions, such as congenital anomalies and uncommon treatments, such as cardiac surgery. It can be used to study a wide range of topics including the economic burden of pediatric conditions, access to services, quality of care and patient safety, and the impact of health policy changes. Discharge weights are provided for calculating national estimates.
Key features of the most recent KID database year (2016) include:
Beginning with 2012 data, the Kids' Inpatient Database (KID) incorporated the following changes to enhance confidentiality:
The KID is available every three years beginning with 1997. Periodically, new data elements are added to the KID and some are dropped; see Appendix III for a summary of data elements and when they are effective.
Hospital discharge data for 2015 contained a mix of ICD-9 and ICD-10 data; the first three quarters of 2015 contained ICD-9-CM data and the last quarter contained ICD-10-CM/PCS. Because of the complexities of analyzing a mixed data year, the KID was not released in 2015 and instead released in 2016. The 2016 KID is comprised of ICD-10-CM/PCS data only.
Access to the KID is open to users who sign Data Use Agreements. Uses are limited to research and aggregate statistical reporting.
For more information on the KID, visit the AHRQ-sponsored HCUP User Support (HCUP-US) website at www.hcup-us.ahrq.gov.
The Kids' Inpatient Database (KID) is part of the Healthcare Cost and Utilization Project (HCUP), sponsored by the Agency for Healthcare Research and Quality (AHRQ).
The KID is the largest publicly-available all-payer pediatric inpatient care database in the United States, yielding national estimates of hospital inpatient stays by children. The KID is a sample of pediatric discharges from all community, non-rehabilitation hospitals in States participating in HCUP. See Table 1 of Appendix I for a list of the statewide data organizations participating in the KID.
Inpatient stay records in the KID include clinical and resource use information typically available from discharge abstracts created by hospitals for billing. The KID contains charge information on all patients, regardless of payer, including persons covered by private insurance, Medicaid, Medicare, and the uninsured. The KID's large sample size enables analyses of rare conditions, such as congenital anomalies and uncommon treatments, such as cardiac surgery. It can be used to study a wide range of topics including the economic burden of pediatric conditions, access to services, quality of care and patient safety, and the impact of health policy changes. Discharge weights are provided for calculating national estimates.
The KID target universe includes pediatric discharges from community, non-rehabilitation hospitals in the United States.1 Pediatric discharges are defined as all discharges where a patient was 20 years or less at admission. Discharges with missing, invalid, or inconsistent ages are excluded. Pediatric discharges are identified as one of three types of records:
In-hospital births (HOSPBRTH = 1) are identified by any ICD-10-CM principal or secondary diagnosis code of 'Z3800', 'Z3801', 'Z382', 'Z3830', 'Z3831', 'Z385', 'Z3861' 'Z3862', 'Z3863', 'Z3864', 'Z3865', 'Z3866', 'Z3868', 'Z3869', or 'Z388' (previously by any ICD-9-CM principal or secondary diagnosis in the range of V3000 to V3901 with the last two digits of "00" or "01") and the patient is not transferred from another acute care hospital or healthcare facility. Uncomplicated births (UNCBRTH = 1) have a Diagnosis Related Group (DRG) indicating "Normal Newborn" (391 prior to 2009, or 795 beginning in 2009).
The KID includes a sample of pediatric discharges from all HCUP hospitals in the sampling frame — the State Inpatient Databases (SID) that agreed to participate in the KID. For sampling, pediatric discharges are stratified by uncomplicated in-hospital birth, complicated in-hospital birth, and all other pediatric cases. To further ensure an accurate representation of each hospital's pediatric case-mix, the discharges are sorted by hospital, DRG, and a random number within each DRG. Systematic random sampling is used to select 10% of uncomplicated in-hospital births and 80% of other pediatric cases from each frame hospital.
To obtain national estimates, discharge weights are developed using the American Hospital Association (AHA) universe of community, non-rehabilitation hospitals as the standard. For the weights, hospitals are post-stratified on six characteristics contained in the AHA hospital files—ownership/control, bed size, teaching status, rural/urban location, U.S. region, and a stratum for freestanding children's hospitals. To create weights, if there were fewer than two frame hospitals, 30 uncomplicated births, 30 complicated births, and 30 non-birth pediatric discharges sampled in a stratum, that stratum is combined with an "adjacent" stratum containing hospitals with similar characteristics. Discharge weights are created by stratum in proportion to the number of AHA newborns for newborn discharges and in proportion to the total number of (non-newborn) AHA discharges for non-newborn discharges.
Detailed information on the design of the KID prior to 2006 is available in the year-specific special reports on Design of the Kids’ Inpatient Database found on the HCUP-US website (http://hcup-us.ahrq.gov/db/nation/kid/kidrelatedreports.jsp). Starting with the 2006 KID, the information on the design of the KID was incorporated into this report, which describes the KID sample and weights, summarizes the contents of the KID, and discusses data analysis issues. This document highlights cumulative information for all previous KID releases to provide a longitudinal view of the database. Over time, we have enhanced the nationwide representation of the sample by incorporating data from additional HCUP State Partners.
KID data sets are currently available for multiple years. Each release of the KID includes:
On October 1, 2015, the United States transitioned from using ICD-9-CM to ICD-10-CM/PCS code sets for reporting medical diagnoses and inpatient procedures.2 ICD-10-CM/PCS consists of two parts:
The HCUP-US website has a section on ICD-10-CM/PCS Resources that summarizes key issues for researchers using HCUP and other administrative databases that include ICD-10-CM/PCS coding. The Web page provides general guidance and forewarning to users analyzing outcomes that may be affected by the transition to the ICD-10-CM/PCS coding system and lists other related Web resources.
Table 2 in Appendix I contains a summary of the data sources, number of hospitals, and number of inpatient stays in each KID database. It also lists the differences in types of hospitals and age inclusion for pediatric cases.
Some HCUP Partners that contributed data to the KID imposed restrictions on the release of certain data elements or on the number and types of hospitals that could be included in the database. Because of confidentiality laws, some data sources were prohibited from providing HCUP with discharge records that indicated specific medical conditions, such as HIV/AIDS or behavioral health. Detailed information on these State-specific restrictions is available in Appendix II.
The KID is distributed as fixed-width ASCII formatted data files compressed with SecureZip® from PKWARE. Beginning with the 2012 KID, the files are encrypted. Previously it was distributed on CD-ROMs, but beginning with the 2009 KID, it is distributed on a single DVD. It includes the following files:
On the HCUP-US Web site (http://www.hcup-us.ahrq.gov), KID purchasers can access complete file documentation, including data element notes, file layouts, summary statistics, and related technical reports. Similarly, purchasers can also download SAS, SPSS, and STATA load programs. Available online documentation and supporting files are detailed in Appendix I, Table 4.
The KID contains two types of data: inpatient stay core records and hospital information. Appendix III identifies the data elements in each KID file:
The tables in Appendix III are not complete documentation for the data. Please refer to the KID documentation located on the HCUP-US website (www.hcup-us.ahrq.gov) for comprehensive information about data elements and the files.
In order to load and analyze the KID data on a computer, users will need the following:
To extract the data files from the compressed download file, follow these steps:
Programs to load the data into SAS, SPSS, or Stata, are available on the HCUP User Support website (HCUP-US). The SAS and SPSS programs are available beginning with 1998. The Stata programs begin with 2006. To download and run the load programs, follow these steps:
KID documentation files on the HCUP-US website (www.hcup-us.ahrq.gov) provide important resources for the user. Refer to these resources to understand the structure and content of the KID and to aid in using the database.
Table 4 in Appendix I details both the KID related reports and the comprehensive KID documentation available on HCUP-US.
For additional assistance, AHRQ has created the HCUP Online Tutorial Series, a series of free, interactive courses which provide training on technical methods for conducting research with HCUP data. Topics include an HCUP Overview Course and these tutorials:
The Load and Check HCUP Data tutorial provides instructions on how to unzip (decompress) HCUP data, save it on your computer, and load the data into a standard statistical software package. This tutorial also describes how to verify that the data have loaded correctly.
The HCUP Sampling Design tutorial is designed to help users learn how to account for sample design in their work with HCUP national (nationwide) databases.
The Producing National HCUP Estimates tutorial is designed to help users understand how the three national (nationwide) databases — the National Inpatient Sample (NIS), Nationwide Emergency Department Sample (NEDS), and KID — can be used to produce national and regional estimates.
The Calculating Standard Errors tutorial shows how to accurately determine the precision of the estimates produced from the HCUP nationwide databases. Users will learn two methods for calculating standard errors for estimates produced from the HCUP national (nationwide) databases.
The HCUP Multi-year Analysis tutorial presents solutions that may be necessary when conducting analyses that span multiple years of HCUP data.
New tutorials are added periodically and existing tutorials are updated when necessary. The Online Tutorial Series is located on the HCUP-US website at www.hcup-us.ahrq.gov/tech_assist/tutorials.jsp.
This section provides a brief synopsis of special considerations when using the KID. For more details, refer to the comprehensive documentation on the HCUP-US website (www.hcup-us.ahrq.gov).
The KID Comparison Reports (available on www.hcup-us.ahrq.gov) assess the accuracy of KID estimates. KID Comparison reports are available for 1997 and 2003. These reports show that the KID's large sample size enables reliable national estimates.
Missing data values can compromise the quality of estimates. If the outcome for discharges with missing values is different from the outcome for discharges with valid values, then sample estimates for that outcome will be biased and inaccurately represent the discharge population. For example, race is missing on about 9% of discharges in the 2016 KID because some hospitals and HCUP State Partners do not supply it. (The percentage of missing race values was higher in previous years.) Therefore race-specific estimates may be biased. This is especially true for estimates of discharge totals by race.
There are several techniques available to help overcome this bias.6 Descriptions of such data preparation and adjustment are outside the scope of this report; however, it is recommended that researchers evaluate and adjust for missing data, if necessary.
It may be important for researchers to calculate a measure of precision for some estimates based on the KID sample data. Variance estimates must take into account both the sampling design and the form of the statistic. If hospitals inside the frame are similar to hospitals outside the frame, the sample hospitals can be treated as if they were randomly selected from the entire universe of hospitals within each stratum. Discharges were randomly selected from within each hospital. Standard formulas for stratified, two-stage cluster samples without replacement may be used to calculate statistics and their variances in most applications. To accurately calculate variances from the KID, you must use appropriate statistical software and techniques. For details, see the special report, Calculating Kids' Inpatient Database (KID) Variances7 This report is available on the HCUP-US website at www.hcup-us.ahrq.gov/db/nation/kid/kidrelatedreports.jsp.
A multitude of statistics can be estimated from the KID data. Several computer programs that calculate statistics and their variances from sample survey data are listed in the section below. Some of these programs use general methods of variance calculations (e.g., the jackknife and balanced half-sample replications) that take into account the sampling design. However, it may be desirable to calculate variances using formulas specifically developed for some statistics.
These variance calculations are based on finite-sample theory, which is an appropriate method for obtaining cross-sectional, nationwide estimates of outcomes. According to finite-sample theory, the intent of the estimation process is to obtain estimates that are precise representations of the nationwide population at a specific point in time. In the context of the KID, any estimates that attempt to accurately describe characteristics (such as expenditure and utilization patterns or hospital market factors) and interrelationships among characteristics of hospitals and discharges during a specific year should be governed by finite-sample theory.
Alternatively, in the study of hypothetical population outcomes not limited to a specific point in time, the concept of a "superpopulation" may be useful. Analysts may be less interested in specific characteristics from the finite population (and time period) from which the sample was drawn than they are in hypothetical characteristics of a conceptual superpopulation from which any particular finite population in a given year might have been drawn. According to this superpopulation model, the nationwide population in a given year is only a snapshot in time of the possible interrelationships among hospital, market, and discharge characteristics. In a given year, all possible interactions between such characteristics may not have been observed, but analysts may wish to predict or simulate interrelationships that may occur in the future.
Under the finite-population model, the variances of estimates approach zero as the sampling fraction approaches one. This is the case because the population is defined at that point in time, and because the estimate is for a characteristic as it existed when sampled. This is in contrast to the superpopulation model, which adopts a stochastic viewpoint rather than a deterministic viewpoint. That is, the nationwide population in a particular year is viewed as a random sample of some underlying superpopulation over time. Different methods are used for calculating variances under the two sample theories. The choice of an appropriate method for calculating variances for nationwide estimates depends on the type of measure and the intent of the estimation process.
The discharge weights would be used to weight the sample data in estimating population statistics. In most cases, computer programs are readily available to perform these calculations. Several statistical programming packages allow weighted analyses.8 For example, nearly all SAS procedures incorporate weights. In addition, several statistical analysis programs have been developed to specifically calculate statistics and their standard errors from survey data. Version eight or later of SAS contains procedures (PROC SURVEYMEANS and PROC SURVEYREG) for calculating statistics based on specific sampling designs. STATA and SUDAAN are two other common statistical software packages that perform calculations for numerous statistics arising from the stratified, single-stage cluster sampling design. Examples of the use of SAS, SUDAAN, and STATA to calculate KID variances are presented in the special report: Calculating Kids' Inpatient Database (KID) Variances. This report is available on the HCUP-US website at http://www.hcup-us.ahrq.gov/db/nation/kid/kidrelatedreports.jsp. For an excellent review of programs to calculate statistics from survey data, visit the following website: http://www.hcp.med.harvard.edu/statistics/survey-soft/. ![]()
The KID database includes a Hospital file with data elements required to calculate finite population statistics. The file includes hospital identifiers (Primary Sampling Units or PSUs), stratification data elements, and stratum-specific totals for the numbers of discharges and hospitals so that finite-population corrections can be applied to variance estimates.
In addition to these subroutines, standard errors can be estimated by validation and cross-validation techniques. Given that a very large number of observations will be available for most analyses, it may be feasible to set aside a part of the data for validation purposes. Standard errors and confidence intervals can then be calculated from the validation data.
If the analytical file is too small to set aside a large validation sample, cross-validation techniques may be used. For example, tenfold cross-validation would split the data into ten equal-sized subsets. The estimation would take place in ten iterations. In each iteration, the outcome of interest is predicted for one-tenth of the observations by an estimate based on a model fit to the other nine-tenths of the observations. Unbiased estimates of error variance are then obtained by comparing the actual values to the predicted values obtained in this manner.
Finally, it should be noted that a large array of hospital-level data elements are available for the entire universe of hospitals, including those outside the sampling frame. For instance, the data elements from the AHA surveys and from the Medicare Cost Reports are available for nearly all hospitals in the U.S, although hospital identifiers are suppressed in the KID for several States. For these States it will not be possible to link to outside hospital-level data sources. To the extent that hospital-level outcomes correlate with these data elements, they may be used to sharpen regional and nationwide estimates.
Unlike the HCUP Nationwide Inpatient Sample (NIS) prior to 2012, the KID has never involved sampling hospitals. Instead, the KID includes a sample of pediatric discharges from all hospitals in the sampling frame.9 For the sampling, pediatric discharges in all participating States are stratified by uncomplicated in-hospital birth, complicated in-hospital birth, and all other pediatric cases. To further ensure an accurate representation of each hospital's pediatric case-mix, the discharges are sorted by State, hospital, DRG, and a random number within each DRG. Systematic random sampling is used to select 10% of uncomplicated in-hospital births and 80% of complicated in-hospital births and other pediatric cases from each frame hospital.
To obtain national estimates, discharge weights are developed using the AHA universe as the standard. For the weights, hospitals are post-stratified on six characteristics contained in the AHA hospital files—ownership/control, bed size, teaching status, rural/urban location, U.S. region, and a stratum for freestanding children's hospitals. If there were fewer than two frame hospitals, 30 uncomplicated births, 30 complicated births, and 30 non-birth pediatric discharges sampled in a stratum, that stratum is combined with an "adjacent" stratum containing hospitals with similar characteristics. Discharge weights are created by stratum in proportion to the total number of AHA newborns for in-hospital births and in proportion to the total number of AHA non-newborn admissions for non-birth pediatric discharges.
The hospital universe is defined as all hospitals located in the U.S. that were open during any part of the calendar year and that were designated as community hospitals in the AHA Annual Survey Database. The AHA defines community hospitals as follows: "All non-Federal, short-term, general, and other specialty hospitals, excluding hospital units of institutions." Starting in 2005, the AHA included long term acute care facilities in the definition of community hospitals. These facilities provide acute care services to patients who need long term hospitalization (more than 25 days stays). Consequently, Veterans Hospitals and other Federal facilities (Department of Defense and Indian Health Service) are excluded. Beginning with the 2000 KID, short-term rehabilitation hospitals were excluded from the universe, because the type of care provided and the characteristics of the discharges from these facilities were markedly different from other short-term hospitals. (The 1997 KID includes short-term rehabilitation hospitals. The KID Trend Weights, described earlier in this report, remove these hospitals and adjust for other design changes in the 2000 KID.) Table 2 in Appendix I displays the number of hospitals in the universe for each year, based on the corresponding AHA Annual Survey Database.
For more information on how hospitals in the data set were mapped to hospitals as defined by the AHA, refer to the special report, HCUP Hospital Identifiers. For a list of all data sources, refer to Table 1 in Appendix I. Detailed information on the design of the KID prior to 2006 is available in the year-specific special reports on Design of the Kids’ Inpatient Database found on the HCUP-US website at http://www.hcup us.ahrq.gov/db/nation/kid/kidrelatedreports.jsp. Starting with the 2006 KID, the design information was incorporated into this report.
All U.S. hospital entities that were designated community hospitals in the AHA hospital file, except short-term rehabilitation hospitals, were included in the hospital universe. Therefore, when two or more community hospitals merged to create a new community hospital, the original hospitals and the newly-formed hospital were all considered separate hospital entities in the universe during the year they merged. Similarly, if a community hospital split, the original hospital and all newly-created community hospitals were treated as separate entities in the universe during the year this occurred. Finally, community hospitals that closed during a given year were included in the hospital universe, if they were in operation during some part of the calendar year.
To calculate discharge weights, we post-stratified hospitals on six characteristics contained in the AHA hospital files—ownership/control, bed size, teaching status, rural/urban location, and U.S. region, with the addition of a stratum for freestanding children's hospitals. The definitions of some of the strata were revised beginning with the 2000 KID. (A description of the strata used for the 1997 KID can be found in the Kids’ Inpatient Database (KID) Design Report, 1997. This report is available on the HCUP-US website at http://www.hcup-us.ahrq.gov/db/nation/kid/kidrelatedreports.jsp.)
Beginning with the 2000 KID, the stratification data elements were defined as follows:
The universe of hospitals was established as all community hospitals located in the U.S. with the exception, beginning in 2000, of short-term rehabilitation hospitals. However, some hospitals do not supply data to HCUP. Therefore, we constructed the KID sampling frame from the subset of universe hospitals that released their discharge data to AHRQ for research use. The number of State Partners and hospitals contributing data to the KID has expanded over the years, as shown in Table 2 of Appendix I.
The list of the entire frame of hospitals was composed of all AHA community, non-rehabilitation hospitals in each of the frame States that could be matched to the discharge data provided to HCUP. If an AHA hospital could not be matched to the discharge data provided by the data source, it was eliminated from the sampling frame (but not from the target universe).
Table 6 of Appendix I shows the number of AHA, HCUP SID, and KID hospitals by Region and by Census Division. In most cases, the difference between the universe and the frame represents the difference between the number of community, non-rehabilitation hospitals in the 2016 AHA Annual Survey Database and the number of hospitals with children's discharges that were supplied to HCUP that could be matched to the AHA data.
Beginning with the 2000 KID, pediatric discharges were defined as having an age at admission of 20 or less. This differs from the 1997 KID, which included discharges with an admission age of 18 or less. Discharges with missing, invalid, or inconsistent ages were excluded.
The overall design objective was to select a sample of pediatric discharges that accurately represents the target universe of U.S. community, non-rehabilitation hospitals. Moreover, this sample was to be geographically dispersed, yet drawn exclusively from hospitals in States that participate in HCUP.
It should be possible, for example, to estimate DRG-specific average lengths of stay across all U.S. hospitals using weighted average lengths of stay, based on averages or regression coefficients calculated from the KID. Ideally, relationships among outcomes and their correlates estimated from the KID should accurately represent all U.S. hospitals. It is advisable to verify your estimates against other data sources, especially for specific patient populations (e.g. organ transplant recipients).
In order to sample and project births up to the number of births reported by the AHA, which reports in-hospital births, the KID development team identified all in-hospital births in the KID data. We further separated the in-hospital births in HCUP data into uncomplicated births and complicated births. We sampled uncomplicated births at a lower rate because they have little variation in their outcomes.
In-hospital births (HOSPBRTH = 1) were identified by any ICD-10-CM principal or secondary diagnosis code of 'Z3800', 'Z3801', 'Z382', 'Z3830', 'Z3831', 'Z385', 'Z3861' 'Z3862', 'Z3863', 'Z3864', 'Z3865', 'Z3866', 'Z3868', 'Z3869', or 'Z388' (previously by any ICD-9-CM principal or secondary diagnosis in the range of V3000 to V3901 with the last two digits of "00" or "01") and the patient was not transferred from another acute care hospital or healthcare facility.
We classified neonates transferred from other facilities as pediatric non-births because they are not included in births reported by the AHA. An age of zero days was not a reliable in-hospital birth indicator because neonates transferred from another hospital or born before admission to the hospital could also have an age of zero days. There were also some cases with birth diagnoses, but with ages of a few days. Because the HCUP data are already edited for neonatal diagnoses inconsistent with age, we did not include any age criteria in the in-hospital birth screen.
Uncomplicated, in-hospital births are identified as cases that meet the above screen and have a Diagnosis Related Group (DRG) indicating "Normal Newborn" (391 prior to 2009, or 795 beginning in 2009). In the KID, a small percentage of the cases with a DRG of "Normal Newborn" do not meet the in-hospital birth screen. These cases have diagnoses that imply a newborn, but do not specifically indicate an in-hospital birth. It is possible that some of these may have been born in the hospital but lacked the proper diagnosis code. Others may be readmissions or may have been born before admission to the hospital. Some of these cases have an admission type of newborn (ATYPE = 4).
We revised some of the hospital universe and strata definitions beginning with the 2000 KID. These changes included:
The KID includes a sample of pediatric discharges from all hospitals in the sampling frame. For the sampling, we stratified the pediatric discharges by uncomplicated in-hospital birth, complicated in-hospital birth, and pediatric non-birth. To further ensure an accurate representation of each hospital's pediatric case-mix, we also sorted the discharges by State, hospital, DRG, and a random number within each DRG. We then used systematic random sampling to select 10% of "normal newborns" born in the hospital and 80% of other pediatric cases from each frame hospital.
It should be observed that the KID includes fewer than 100% of the pediatric discharges for each hospital in the database. Therefore, researchers will not be able to calculate hospital-specific outcomes with certainty.
To obtain national estimates, we developed discharge weights using the AHA universe as the standard. For the weights, hospitals are post-stratified on six characteristics contained in the AHA hospital files—ownership/control, bed size, teaching status, rural/urban location, and U.S. region, with the addition of a stratum for freestanding children's hospitals. We also stratified the KID discharges according to whether the discharge was an uncomplicated in-hospital birth, a complicated in-hospital birth, or a non-newborn pediatric discharge. If there were fewer than two frame hospitals, 30 uncomplicated births, 30 complicated births, and 30 non-birth pediatric discharges sampled in a stratum, we merged that stratum with an "adjacent" stratum containing hospitals with similar characteristics.
Prior to the 2016 KID, we used Children's Hospital Association (CHA) data to help verify the AHA list of children's hospitals in the target universe. CHA data was not available for 2016. Data analysts may find it useful to identify discharges from children's hospitals. Prior to 2012, children's hospitals within general hospitals were not stratified as children's hospitals, but they could be selected using the NACHTYPE data element in the KID. Beginning with 2012 data, NACHTYPE is no longer available, but discharges from freestanding children's hospitals are stratified as children's hospitals (KID_STRATUM=9999 or 9998).
The discharge weights usually are constant for all discharges of the same type (uncomplicated in-hospital birth, complicated in-hospital birth, and other pediatric discharge) within a stratum. The only exceptions are for strata with sample hospitals that, according to the AHA files, were open for the entire year but contributed less than their full year of data to the KID. For those hospitals, we adjusted the number of observed discharges by a factor of 4 ÷ Q, where Q was the number of calendar quarters that the hospital contributed discharges to the KID. For example, when a sample hospital contributed only two quarters of discharge data to the KID, the adjusted number of discharges was double the observed number.
With that minor adjustment, each discharge weight is essentially equal to the number of AHA universe discharges that each sampled discharge represents in its stratum. This calculation was possible because the numbers of total discharges and births were available for every hospital in the universe from the AHA files.
Discharge weights to the universe were calculated by post-stratification. Hospitals were stratified on geographic region, urban/rural location, teaching status, bed size, control, and hospital type. In some instances, strata were collapsed for sample weight calculations. Within stratum k, for hospital i, each KID sample discharge's universe weight was calculated as:
Wik = [Tk / (Rk * Ak)] * (4 ÷ Qi)
In the birth strata (both complicated and uncomplicated):
In the non-newborn strata:
Uncomplicated in-hospital births were sampled at a lower rate than other discharges because the variation in hospital outcomes for uncomplicated births is considerably less than that for other pediatric cases and because we expect research to focus much more on other pediatric patients. We sampled uncomplicated births at the nominal rate of 10% and sampled other pediatric discharges (complicated newborns and other pediatric cases) at the nominal rate of 80% from the discharges available in the (restricted) frame. To avoid rounding errors in the weights calculation, the actual sampling rate for a discharge type (uncomplicated in-hospital birth, complicated in-hospital birth, or non-birth pediatric discharge) in stratum k, Rk, was calculated as follows:
Rk = Sk / Hk
The AHA birth counts include both uncomplicated and complicated births. Therefore, the weights in the uncomplicated birth strata implicitly assume that the proportion of births that are uncomplicated in the frame is representative of the proportion of births that are uncomplicated in the population for each stratum. A similar assumption is made for complicated newborns.
Similarly, the non-birth AHA counts include all non-birth admissions, not just non-birth pediatric counts. Consequently, the weights in the non-birth strata implicitly assume that the proportion of non-birth discharges that are pediatric across the HCUP SID hospitals is the same as the proportion of non-birth admissions that are pediatric across the universe of AHA hospitals, in the aggregate within each hospital stratum.
To produce nationwide estimates, use the discharge weights to project sampled discharges in the Core file to the discharges from all U.S. community, non-rehabilitation hospitals. Beginning with the 2003 KID, use DISCWT to calculate nationwide estimates for all analyses. For the 2000 KID, use DISCWT to create nationwide estimates for all analyses except those that involve total charges, and use DISCWTCHARGE to create nationwide estimates of total charges. For the 1997 KID, use DISCWT_U for all analyses. (For trends analysis using 1997 KID data, see the previous section of this report regarding "Studying Trends.")
In Appendix I, we present tables and figures that summarize the final KID sample.
Table 2 summarizes information across all years of the KID, including the KID States, data sources, sample hospitals, and sample discharges.
Table 6 shows the number of hospitals and discharges for children's hospitals and other hospitals. For each hospital type, the table shows the number of:
Table 7 displays the unweighted and weighted number of uncomplicated births, complicated births, and pediatric non-births by hospital type in the KID.
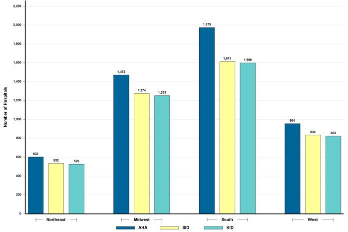
Figure 2 displays the KID hospitals by geographic region. For each region, the chart presents:
Although pediatric discharges from hospitals in each region are selected for the KID, the comprehensiveness of the sampling frame varies by region, as shown in Figure 2.
Figure 3 summarizes the estimated U.S. population by geographic region on July 1, 2016. For each region, the figure reveals:
This figure shows that the sampling frame for the KID includes states that comprise over 97 percent of the U.S. population.
| State | Data Organization |
|---|---|
| AK | Alaska State Hospital and Nursing Home Association |
| AR | Arkansas Department of Health |
| AZ | Arizona Department of Health Services |
| CA | Office of Statewide Health Planning & Development |
| CO | Colorado Hospital Association |
| CT | Connecticut Hospital Association |
| DC | District of Columbia Hospital Association |
| FL | Florida Agency for Health Care Administration |
| GA | Georgia Hospital Association |
| HI | Hawaii Health Information Corporation |
| IA | Iowa Hospital Association |
| IL | Illinois Department of Public Health |
| IN | Indiana Hospital Association |
| KS | Kansas Hospital Association |
| KY | Kentucky Cabinet for Health and Family Services |
| LA | Louisiana Department of Health and Hospitals |
| MA | Division of Health Care Finance and Policy |
| MD | Health Services Cost Review Commission |
| ME | Maine Health Data Organization |
| MI | Michigan Health & Hospital Association |
| MN | Minnesota Hospital Association |
| MO | Hospital Industry Data Institute |
| MS | Mississippi Department of Health |
| MT | MHA - An Association of Montana Health Care Providers |
| NC | North Carolina Department of Health and Human Services |
| ND | North Dakota (data provided by the Minnesota Hospital Association) |
| NE | Nebraska Hospital Association |
| NJ | New Jersey Department of Health |
| NM | New Mexico Department of Health |
| NV | Nevada Department of Health and Human Services |
| NY | New York State Department of Health |
| OH | Ohio Hospital Association |
| OK | Oklahoma State Department of Health |
| OR | Oregon Association of Hospitals and Health Systems |
| PA | Pennsylvania Health Care Cost Containment Council |
| RI | Rhode Island Department of Health |
| SC | South Carolina State Budget & Control Board |
| SD | South Dakota Association of Healthcare Organizations |
| TN | Tennessee Hospital Association |
| TX | Texas Department of State Health Services |
| UT | Utah Department of Health |
| VA | Virginia Health Information |
| VT | Vermont Association of Hospitals and Health Systems |
| WA | Washington State Department of Health |
| WI | Wisconsin Department of Health Services |
| WV | West Virginia Health Care Authority |
| WY | Wyoming Hospital Association |
| 2016 | 2012 | 2009 | 2006 | 2003 | 2000 | 1997 | |
|---|---|---|---|---|---|---|---|
| Number of States | 47 | 44 | 44 | 38 | 36 | 27 | 22 |
| Data Sources | AK AR AZ CA CO CT DC FL GA HI IA IL IN KS KY LA MA MD ME MI MN MO MS MT NC ND NE NJ NM NV NY OH OK OR PA RI SC SD TN TX UT VA VT WA WI WV WY (Added DC and MS. NH is not included) | AK AR AZ CA CO CT FL GA HI IA IL IN KS KY LA MA MD MI MN MO MT NC ND NE NJ NM NV NY OH OK OR PA RI SC SD TN TX UT VA VT WA WI WV WY (Added AK, ND, ME and NH are not included) | AR AZ CA CO CT FL GA HI IA IL IN KS KY LA MA MD ME MI MN MO MT NC NE NH NM NJ NV NY OH OK OR PA RI SC SD TN TX UT VA VT WA WI WV WY (Added LA,ME, MT, NM, PA and WY) | AR AZ CA CO CT FL GA HI IA IL IN KS KY MA MD MI MN MO NC NE NH NJ NV NY OH OK OR RI SC SD TN TX UT VA VT WA WI WV (Added AR and OK. ME and PA are not included) | AZ CA CO CT FL GA HI IA IL IN KS KY MA MD MI MN MO NC NE NH NJ NV NY OH OR RI SC SD TN TX UT VA VT WA WI WV (Added IL, IN, MI, MN, NE, NH, NV, OH, RI, SD, VT. ME and PA are not included) | AZ CA CO CT FL GA HI IA KS KY MA MD ME MO NC NJ NY OR PA SC TN TX UT VA WA WI WV (Added KY, ME, NC, TX, VA, WV. IL is not included) | AZ CA CO CT FL GA HI IL IA KS MD MA MO NJ NY OR PA SC TN UT WA WI |
| Hospitals | Community, non-rehabilitation hospitals | Community hospitals, including rehabilitation hospitals | |||||
| Hospital Universe 10 | 5,001 | 5,118 | 5,128 | 5,124 | 4,836 | 4,839 | 5,113 |
| Number of hospitals with pediatric discharges | 4,200 | 4,179 | 4,121 | 3,739 | 3,438 | 2,784 | 2,521 |
| Definition of pediatric discharges | Age at admission of 20 years or less for all years after 1997 | Age at admission of 18 years or less | |||||
| Number of pediatric discharges (unweighted) | 3,117,413 | 3,195,782 | 3,407,146 | 3,131,324 | 2,984,129 | 2,516,833 | 1,905,797 |
| Number of pediatric discharges (weighted) | 6,266,285 | 6,675,222 | 7,370,203 | 7,558,812 | 7,409,162 | 7,291,032 | 6,657,326 |
| Region | States |
|---|---|
| 1: Northeast | Connecticut, Maine, Massachusetts, New Hampshire, New Jersey, New York, Pennsylvania, Rhode Island, Vermont. |
| 2: Midwest | Illinois, Indiana, Iowa, Kansas, Michigan, Minnesota, Missouri, Nebraska, North Dakota, Ohio, South Dakota, Wisconsin. |
| 3: South | Alabama, Arkansas, Delaware, District of Columbia, Florida, Georgia, Kentucky, Louisiana, Maryland, Mississippi, North Carolina, Oklahoma, South Carolina, Tennessee, Texas, Virginia, West Virginia. |
| 4: West | Alaska, Arizona, California, Colorado, Hawaii, Idaho, Montana, Nevada, New Mexico, Oregon, Utah, Washington, Wyoming. |
Description of the KID Database
|
ICD-10-CM/PCS Data Included in 2016 KID
|
| Location and Teaching Status | Hospital Bed Size | ||
|---|---|---|---|
| Small | Medium | Large | |
| NORTHEAST | |||
| Rural | 1-49 | 50-99 | 100+ |
| Urban, non-teaching | 1-124 | 125-199 | 200+ |
| Urban, teaching | 1-249 | 250-424 | 425+ |
| MIDWEST | |||
| Rural | 1-29 | 30-49 | 50+ |
| Urban, non-teaching | 1-74 | 75-174 | 175+ |
| Urban, teaching | 1-249 | 250-374 | 375+ |
| SOUTH | |||
| Rural | 1-39 | 40-74 | 75+ |
| Urban, non-teaching | 1-99 | 100-199 | 200+ |
| Urban, teaching | 1-249 | 250-449 | 450+ |
| WEST | |||
| Rural | 1-24 | 25-44 | 45+ |
| Urban, non-teaching | 1-99 | 100-174 | 175+ |
| Urban, teaching | 1-199 | 200-324 | 325+ |
| Census Region / Division | AHA Universe Hospitals | SID Community, Non-Rehab Hospitals | SID Community, Non-Rehab Hospitals With Pediatric Discharges | KID Sampling Frame Hospitals | KID Sample Hospitals |
|---|---|---|---|---|---|
| Total | 5,001 | 4,562 | 4,252 | 4,252 | 4,200 |
| Census Region | |||||
| 1: Northeast | 602 | 561 | 532 | 532 | 525 |
| 2: Midwest | 1,472 | 1,370 | 1,274 | 1,274 | 1,253 |
| 3: South | 1,973 | 1,751 | 1,613 | 1,613 | 1,599 |
| 4: West | 954 | 880 | 833 | 833 | 823 |
*The columns in the table are defined as follows:
| AHA Universe | SID | KID | ||||
|---|---|---|---|---|---|---|
| Hospital Type | Hospitals | Admissions Plus Births | Hospitals with Pediatric Discharges | Pediatric Discharges | Hospitals | Pediatric Discharges |
| Children's Hospital | 80 | 644,055 | 73 | 531,448 | 73 | 420,689 |
| Not a Children's Hospital | 4,921 | 36,667,975 | 4,179 | 5,361,554 | 4,127 | 2,696,724 |
| Total | 5,001 | 37,312,030 | 4,252 | 5,893,002 | 4,200 | 3,117,413 |
| Hospital Type | Uncomplicated Births | Complicated Births | Pediatric Non-Births | Total Pediatric Discharges |
|---|---|---|---|---|
| Unweighted: | ||||
| Children's Hospital | 638 | 7,232 | 412,819 | 420,689 |
| Not a Children's Hospital | 227,497 | 1,073,758 | 1,395,469 | 2,696,724 |
| Total | 228,135 | 1,080,990 | 1,808,288 | 3,117,413 |
| Weighted: | ||||
| Children's Hospital | 8,333 | 11,799 | 595,994 | 616,126 |
| Not a Children's Hospital | 2,357,133 | 1,392,376 | 1,900,650 | 5,650,159 |
| Total | 2,365,466 | 1,404,175 | 2,496,644 | 6,266,285 |
*Prior to the 2016 KID, data from the Children's Hospital Association (CHA) were used to help verify the AHA list of children's hospitals. For 2016, children's hospitals were identified using only AHA data.


The table below enumerates the types of restrictions applied to the KID. Restrictions include the following types:
| Confidentiality of Records - Restricted Release of Age in Years |
|---|
|
| Missing Discharges |
|---|
|
For prior years, refer to the KID Description of Data Elements page on the HCUP-US website or to previous versions of the KID Introduction.
| Type of Data Element | HCUP Name | Coding Notes |
|---|---|---|
| Admission day of week or weekend | AWEEKEND | Admission on weekend: (0) admission on Monday-Friday, (1) admission on Saturday-Sunday |
| Admission month | AMONTH | Admission month coded from (1) January to (12) December |
| Transferred into hospital | TRAN_IN | Transfer In Indicator: (0) not a transfer, (1) transferred in from a different acute care hospital [ATYPE NE 4 & (ASOURCE=2 or POO=4)], (2) transferred in from another type of health facility [ATYPE NE 4 & (ASOURCE=3 or POO=5, 6)] |
| Admission type | ELECTIVE | Indicates elective admission: (1) elective, (0) non-elective admission |
| Age at admission | AGE | Age in years coded 0-124 years |
| Diagnosis information | I10_DX1 - I10_DX30 | Diagnoses, principal and secondary (ICD-10-CM/PCS). Beginning in 2003, the diagnosis array does not include any of external cause of injury codes. These codes have been stored in a separate array ECODEn. For the 2009 and 2012 KID, the diagnosis array was increased from 15 to 25. Beginning with the 2016 KID, the diagnosis array was increased from 25 to 30. |
| I10_HOSPBRTH | Birth diagnosis, in this hospital | |
| I10_NDX | Number of diagnoses coded on the original record | |
| I10_UNCBRTH | Normal, uncomplicated birth in hospital | |
| Diagnosis Related Group (DRG) | DRG | DRG in use on discharge date |
| DRG_NoPOA | DRG in use on discharge date, calculated without Present On Admission (POA) indicators | |
| DRGVER | Grouper version in use on discharge date | |
| Discharge quarter | DQTR | Coded: (1) Jan - Mar, (2) Apr - Jun, (3) Jul - Sep, (4) Oct - Dec |
| Discharge weights | DISCWT | Weight to discharges in AHA universe for national estimates. In 2000, the discharge weight DISCWTCHARGE should be used for estimates of total charges. |
| Discharge year | YEAR | Calendar year |
| Disposition of patient (discharge status) | DIED | Indicates in-hospital death: (0) did not die during hospitalization, (1) died during hospitalization |
| DISPUNIFORM | Disposition of patient, uniform coding used beginning in 1998: (1) routine, (2) transfer to short term hospital, (5) other transfers, including skilled nursing facility, intermediate care, and another type of facility, (6) home healthcare, (7) against medical advice, (20) died in hospital, (99) discharged alive, destination unknown | |
| TRAN_OUT | Transfer Out Indicator: (0) not a transfer, (1) transferred out to a different acute care hospital, (2) transferred out to another type of health facility | |
| External causes of injury and poisoning | I10_ECAUSE1 - ECAUSE4 | External cause of injury and poisoning code, primary and secondary (ICD-10-CM/PCS). Beginning in 2003, external cause of injury codes are stored in a separate array ECODEn from the diagnosis codes in the array DXn. Prior to 2003, these codes are contained in the diagnosis array (DXn). |
| I10_NECAUSE | Number of external cause of injury codes on the original record. | |
| Sex of patient | FEMALE | Indicates sex for KID beginning in 1998: (0) male, (1) female |
| Hospital information | HOSP_REGION | Region of hospital: (1) Northeast, (2) Midwest, (3) South, (4) West. Prior to 2012, region of hospital is only available in the KID Hospital File. |
| KID_STRATUM | Hospital stratum used for weights. | |
| Indicates Emergency Department service | HCUP_ED | Indicator that discharge record includes evidence of emergency department (ED) services: (0) Record does not meet any HCUP Emergency Department criteria, (1) Emergency Department revenue code on record, (2) Positive Emergency Department charge (when revenue center codes are not available), (3) Emergency Department CPT procedure code on record, (4) Admission source of ED, (5) State-defined ED record; no ED charges available |
| Length of Stay | LOS | Length of stay, edited |
| Location of the patient | PL_NCHS | Urban-rural designation for patient's county of residence: (1) "Central" counties of metro areas >= 1 million population, (2) "Fringe" counties of metro areas >= 1 million population, (3) Counties in metro areas of 250,000 - 999,999 population, (4) Counties in metro areas of 50,000 - 249,999 population, (5) micropolitan counties, (6) non-core counties |
| Major Diagnosis Category (MDC) | MDC | MDC in use on discharge date |
| MDC_NoPOA | MDC in use on discharge date, calculated without Present on Admission (POA) indicators | |
| Median household income for patient's ZIP Code | ZIPINC_QRTL | Median household income quartiles for patient's ZIP Code. Because these estimates are updated annually, the value ranges for the ZIPINC_QRTL categories vary by year. Check the HCUP-US Website for details. |
| Payer information | PAY1 | Expected primary payer, uniform: (1) Medicare, (2) Medicaid, (3) private including HMO, (4) self-pay, (5) no charge, (6) other |
| Procedure information | I10_PR1 - I10_PR15 | Procedures, principal and secondary (ICD-10-CM/PCS) |
| I10_NPR | Number of procedures coded on the original record | |
| I10_ORPROC | Major operating room procedure indicator: (0) no major operating room procedure, (1) major operating room procedure | |
| PRDAY1 | Number of days from admission to principal procedure. | |
| PRDAY2 - PRDAY15 | Number of days from admission to secondary procedures. | |
| Race of Patient | RACE 14 | Race, uniform coding: (1) white, (2) black, (3) Hispanic, (4) Asian or Pacific Islander, (5) Native American, (6) other |
| Record identifier, synthetic | RECNUM | HCUP unique record number |
| Total Charges | TOTCHG | Total charges, edited |
Table 2. Data Elements in the 2016 KID Hospital File
For prior years, refer to the KID Description of Data Elements page on the HCUP-US website or to previous versions of the KID Introduction.
| Type of Data Element | HCUP Name | Coding Notes |
|---|---|---|
| Universe Counts | N_DISC_U | Number of universe discharges in the KID_STRATUM |
| N_BRTH_U | Number of universe births in KID_STRATUM | |
| N_HOSP_U | Number of universe hospitals in KID_STRATUM | |
| Sample Counts | S_DISC_U | Number of sampled discharges in the sampling stratum (KID_STRATUM or STRATUM) |
| S_BRTH_U | Number of sample births in KID_STRATUM | |
| S_CHLD_U | Number of sample pediatric non-births in KID_STRATUM | |
| S_CMPB_U | Number of sample complicated births in KID_STRATUM | |
| S_UNCB_U | Number of sample uncomplicated births in KID_STRATUM | |
| S_HOSP_U | Number of sample hospitals in KID_STRATUM | |
| Hospital Characteristics | KID_STRATUM | Hospital stratum used for weights |
| HOSP_BEDSIZE | Bed size of hospital (STRATA): (1) small, (2) medium, (3) large | |
| H_CONTRL | Control/ownership of hospital (STRATA): (1) government, nonfederal, (2) private, non-profit, (3) private, invest-own | |
| HOSP_LOCTEACH | Location/teaching status of hospital (STRATA): (1) rural, (2) urban non-teaching, (3) urban teaching | |
| HOSP_REGION | Region of hospital (STRATA): (1) Northeast, (2) Midwest, (3) South, (4) West | |
| Discharge Year | YEAR | Calendar year |
Table 3. Data Elements in the 2016 KID Disease Severity Measures Files
For prior years, refer to the KID Description of Data Elements page on the HCUP-US website or to previous versions of the KID Introduction.
| Type of Data Element | HCUP Name | Coding Notes |
|---|---|---|
| All Patient Refined DRG (3M) | APRDRG | All Patient Refined DRG |
| APRDRG_Risk_Mortality | All Patient Refined DRG: Risk of Mortality Subclass | |
| APRDRG_Severity | All Patient Refined DRG: Severity of Illness Subclass | |
| Linkage Variables | HOSP_KID | KID hospital number (links to Hospital Weights file; does not link to previous years) |
| RECNUM | HCUP record identifier (links to KID discharge level files; does not link to previous years) |
APPENDIX IV: TEACHING HOSPITAL INDICATOR ASSIGNMENT
The following data elements from the American Hospital Association Annual Survey Database (Health Forum, LLC © 2017) were used to assign the KID Teaching Hospital Indicator:
AHA Data Element Name = Description [HCUP Data Element Name].
BDH = Number of short-term hospital beds [B001H].
BDTOT = Number of total facility beds [B001].
FTRES = Number of full-time employees: interns & residents (medical & dental) [E125].
PTRES = Number of part-time employees: interns & residents (medical & dental) [E225].
MAPP8 = Council of Teaching Hospitals (COTH) indicator [A101].
MAPP3 = Residency training approval by the Accreditation Council for Graduate Medical Education (ACGME) [A102].
Beginning with the 2000 KID, the following SAS codes were used to assign the teaching hospital status indicator, HOSP_TEACH:
/*******************************************************/ /* FIRST ESTABLISH SHORT-TERM BEDS DEFINITION */ /*******************************************************/ IF BDH NE . THEN BEDTEMP = BDH ; /* SHORT TERM BEDS */ ELSE IF BDH =. THEN BEDTEMP = BDTOT ; /* TOTAL BEDS PROXY */ /*******************************************************/ /* ESTABLISH IRB NEEDED FOR TEACHING STATUS */ /* BASED ON F-T P-T RESIDENT INTERN STATUS */ /*******************************************************/ IRB = (FTRES + .5*PTRES) / BEDTEMP ; /*******************************************************/ /* CREATE TEACHING STATUS DATA ELEMENT */ /*******************************************************/ IF (MAPP8 EQ 1) OR (MAPP3 EQ 1) THEN HOSP_TEACH = 1 ; ELSE IF (IRB GE 0.25) THEN HOSP_TEACH = 1 ; ELSE HOSP_TEACH = 0 ;
1 Community hospitals, as defined by the American Hospital Association (AHA), include "all non-Federal, short term, general, and other specialty hospitals, excluding hospital units of institutions." Included among community hospitals are specialty hospitals such as obstetrics gynecology, ear-nose-throat, short-term rehabilitation, orthopedic, and pediatric institutions. Also included are public hospitals and academic medical centers. Starting in 2005, the AHA included long term acute care facilities in the definition of community hospitals. These facilities provide acute care services to patients who need long term hospitalization (stays of more than 25 days). Excluded from the KID are short-term rehabilitation hospitals (beginning with 2000 data), long-term non-acute care hospitals, psychiatric hospitals, and alcoholism/chemical dependency treatment facilities.
2 ICD-9-CM: International Classification of Diseases, Ninth Revision, Clinical Modification; ICD-10-CM/PCS: International Classification of Diseases, Tenth Revision, Clinical Modification/Procedure Coding System
3 Beta versions of the HCUP Tools and Software for ICD-10-CM/PCS are available for download at www.hcup-us.ahrq.gov/tools_software.jsp.
4 Prior to 2000, the discharge weight was named DISCWT_U. For 2000 only, use DISCWT to create national estimates for all analyses except those that involve total charges; and use DISCWTCHARGE to create national estimates of total charges.
5 This report has not been updated for the 2012 KID data element changes. However, the same statistical techniques should be used to calculate standard errors and confidence intervals. There is one change in example programs: HOSPID (the encrypted hospital identifier) should be replaced by HOSP_KID.
6 See, for example, van Buuren, S. (2012). Flexible Imputation of Missing Data. CRC Press, Boca Raton, FL.
7 This report has not been updated for the 2012 KID data element changes. However, the same statistical techniques should be used to calculate standard errors and confidence intervals. There is one change in example programs: HOSPID (the encrypted hospital identifier) should be replaced by HOSP_KID.
8 Carlson BL, Johnson AE, Cohen SB. "An Evaluation of the Use of Personal Computers for Variance Estimation with Complex Survey Data." Journal of Official Statistics, vol. 9, no. 4, 1993: 795-814.
9 As of 2012, the sampling strategy for National Inpatient Sample (NIS) was redesigned as a sample of discharges from all HCUP-participating hospitals. For more information on the new design for the NIS, see the NIS Overview, available on HCUP-US website at www.hcup-us.ahrq.gov/nisoverview.jsp.
10 Most AHA survey responses from hospitals cover a fiscal year other than a January-to-December calendar year. The numbers of hospitals for the KID are based on the AHA Annual Survey files.
11 New Hampshire participates in HCUP but did not provide data in time for the 2016 KID.
12 States and areas in italics do not participate in HCUP.
13 Table 1. Annual Estimates of the Population for the United States, Regions, States, and Puerto Rico: April 1, 2010 to July 1, 2017 (NST-EST2017-01). Source: U.S. Census Bureau, Population Division. Release Date: December 2017.
14 Race contains missing values on more than 9% of the records.
| Internet Citation: 2016 Introduction to the KID. Healthcare Cost and Utilization Project (HCUP). August 2020. Agency for Healthcare Research and Quality, Rockville, MD. hcup-us.ahrq.gov/db/nation/kid/kid_2016_introduction.jsp. |
| Are you having problems viewing or printing pages on this website? |
| If you have comments, suggestions, and/or questions, please contact hcup@ahrq.gov. |
| If you are experiencing issues related to Section 508 accessibility of information on this website, please contact hcup@ahrq.gov. |
| Privacy Notice, Viewers & Players |
| Last modified 8/24/20 |